Skip to Content
SlipStick
SlipStick
Store
Contact
FAQs
0
0
SlipStick
SlipStick
Store
Contact
FAQs
0
0
Store
Contact
FAQs
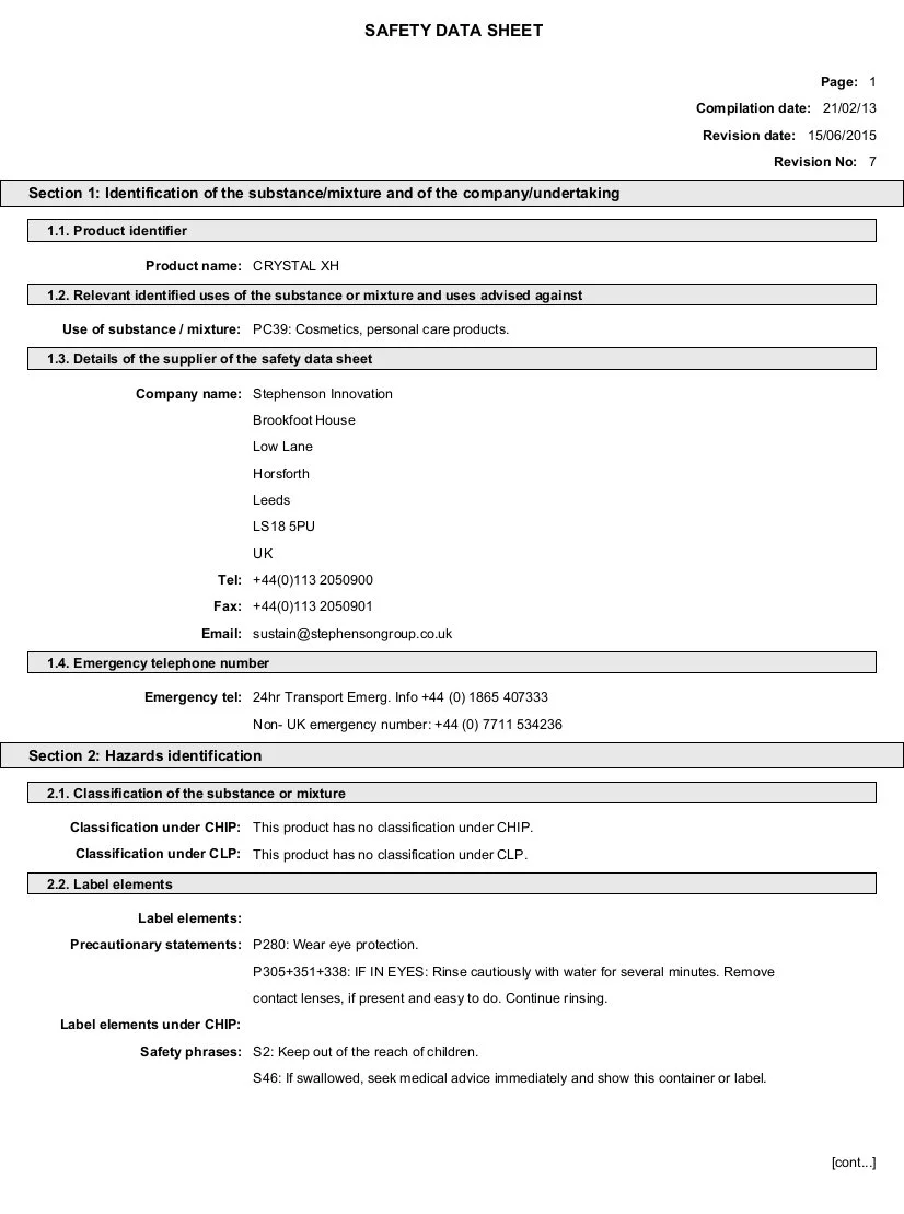
SlipStick Safety Data Sheet.jpg
SlipStick Safety Data Sheet 2.jpg
SlipStick Safety Data Sheet 3.jpg
SlipStick Safety Data Sheet 4.jpg
SlipStick Safety Data Sheet 5.jpg
SlipStick Safety Data Sheet 6.jpg
 
 
Wilkinson Logo TW Approved 2.png
 

Distributed by KateWilkinsonEnterprises Limited.

Wilkinson Registered Trademark.

 
grey-logo.png
 
 

Store

Dealers Enquiry

Returns

Contact How to use
FAQs Privacy Policy